res-20200118T011202-c270d45e-ae09-4505-b26f-70f2b1914448.sqlite

Summary

provers
n_results
196
bad
1
uuid
c270d45e-ae09-4505-b26f-70f2b1914448
dirs
//home/simon/workspace/sidekick/tests
timestamp
2020/01, Sat the 18, at 1h12:02 GMT
total_wall_time
58s

stats

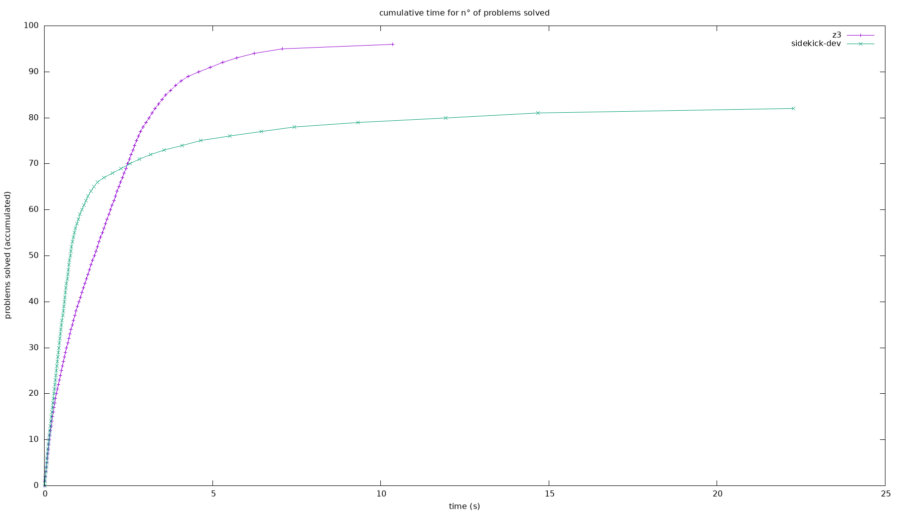
provers
z3
sidekick-dev
sat
22
23
unsat
75
60
sat+unsat
97
83
errors
0
valid_proof
0
0
invalid_proof
0
0
unknown
0
2
timeout
memory
0
0
total
98
98
total_time
10.4s
22.3s

summary

download as csv see detailed results
provers
z3
sidekick-dev
improved
0
0
ok
disappoint
bad
0
valid proof
0
0
invalid proof
0
0
errors
0
total
98
98
cactus plot of provers

comparisons

better:
z3
sidekick-dev
z3
×
same: 83
better: 0
worse: 14
sidekick-dev
same: 83
better: 14
worse: 0
×