res-20200211T161640-c1d7288e-af0f-4805-acbc-1dddaa33cf96.sqlite

Summary

provers
n_results
237
uuid
c1d7288e-af0f-4805-acbc-1dddaa33cf96
dirs
//home/simon/workspace/mc2/tests
timestamp
2020/02, Tue the 11, at 16h16:40 GMT
total_wall_time
44.7s

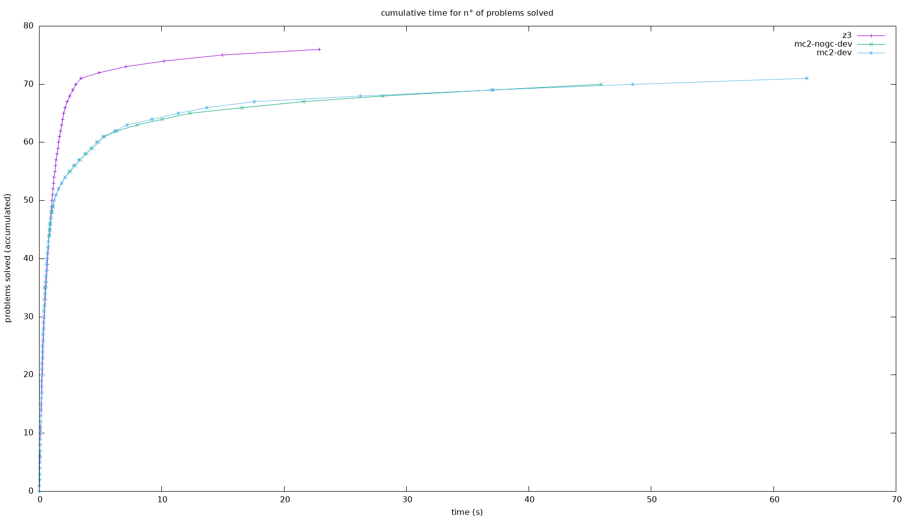
stats

provers
z3
mc2-nogc-dev
mc2-dev
sat
27
25
25
unsat
50
46
47
sat+unsat
77
71
72
errors
0
valid_proof
0
0
0
invalid_proof
0
0
0
unknown
0
3
5
timeout
0
memory
0
0
0
total
79
79
79
total_time
22.9s
45.9s
1m2.7s

summary

download as csv see detailed results
provers
z3
mc2-nogc-dev
mc2-dev
improved
0
0
0
ok
disappoint
bad
0
0
0
valid proof
0
0
0
invalid proof
0
0
0
errors
0
total
79
79
79
cactus plot of provers

comparisons

better:
z3
mc2-nogc-dev
mc2-dev
z3
×
same: 71
better: 0
worse: 6
same: 72
better: 0
worse: 5
mc2-nogc-dev
same: 71
better: 6
worse: 0
×
same: 71
better: 1
worse: 0
mc2-dev
same: 72
better: 5
worse: 0
same: 71
better: 0
worse: 1
×