res-20200513T033615-4b6e544e-5986-407b-958e-8e406787e182.sqlite

Summary

provers
n_results
204
uuid
4b6e544e-5986-407b-958e-8e406787e182
dirs
//home/simon/w/sidekick/tests
timestamp
2020/05, Wed the 13, at 3h36:15 GMT
total_wall_time
1m5.9s

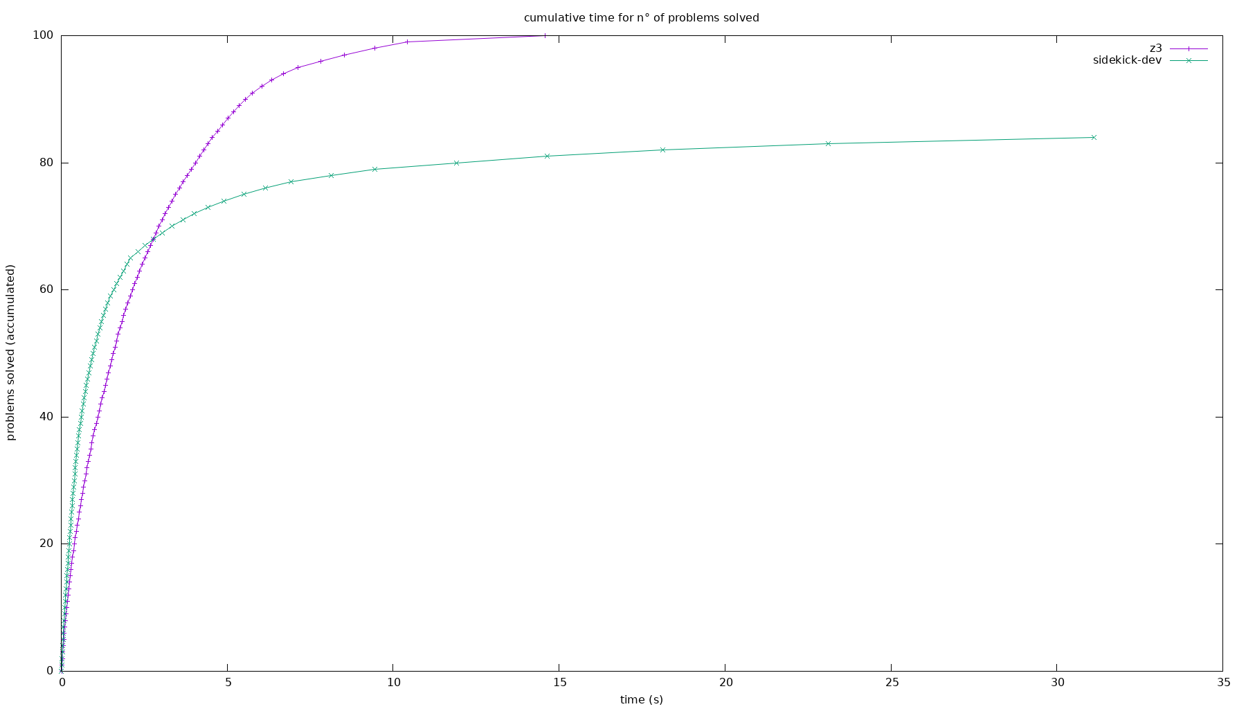
stats

provers
z3
sidekick-dev
sat
25
24
unsat
76
61
sat+unsat
101
85
errors
0
valid_proof
0
0
invalid_proof
0
0
unknown
0
4
timeout
memory
0
0
total
102
102
total_time
14.6s
31.1s

summary

download as csv see detailed results
provers
z3
sidekick-dev
improved
0
0
ok
disappoint
bad
0
0
valid proof
0
0
invalid proof
0
0
errors
0
total
102
102
cactus plot of provers

comparisons

better:
z3
sidekick-dev
z3
×
same: 85
better: 0
worse: 16
sidekick-dev
same: 85
better: 16
worse: 0
×