res-20200515T222015-2eed2c42-3d64-4611-956f-341d3b2d54ab.sqlite

Summary

provers
n_results
64
uuid
2eed2c42-3d64-4611-956f-341d3b2d54ab
dirs
//home/simon/workspace/msat/tests
timestamp
2020/05, Fri the 15, at 22h20:15 GMT
total_wall_time
41s

stats

provers
msat
minisat
sat
12
13
unsat
18
18
sat+unsat
30
31
errors
0
0
valid_proof
0
0
invalid_proof
0
0
unknown
0
1
timeout
0
memory
0
0
total
32
32
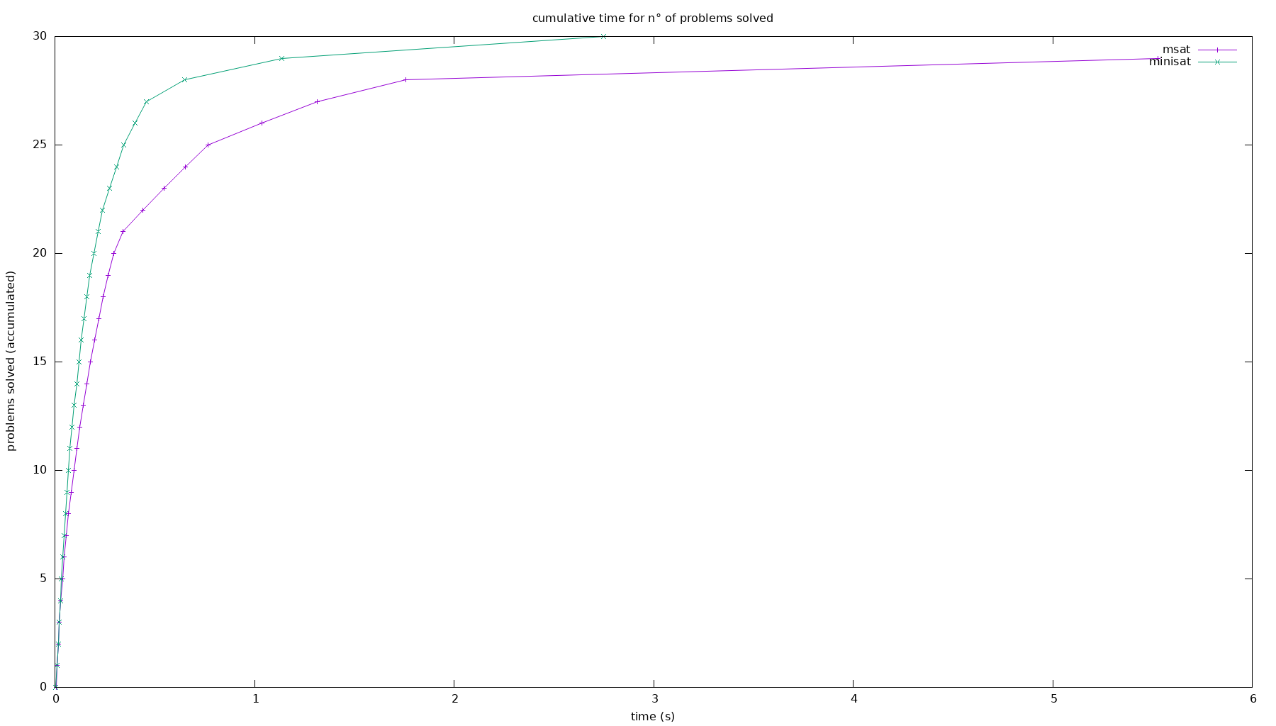
total_time
5.5s
2.8s

summary

download as csv see detailed results
provers
msat
minisat
improved
ok
0
disappoint
0
0
bad
0
0
valid proof
0
0
invalid proof
0
0
errors
0
0
total
32
32
cactus plot of provers

comparisons

better:
msat
minisat
msat
×
same: 30
better: 1
worse: 0
minisat
same: 30
better: 0
worse: 1
×