res-20201113T011511-6b1c9970-1b38-4366-907f-d8c60dd5c37c.sqlite

Summary

provers
n_results
3296
bad
278
uuid
6b1c9970-1b38-4366-907f-d8c60dd5c37c
dirs
//home/simon/w/sidekick/tests/QF_LRA
timestamp
2020/11, Fri the 13, at 1h15:11 GMT
total_wall_time
1h2m0.3s

stats

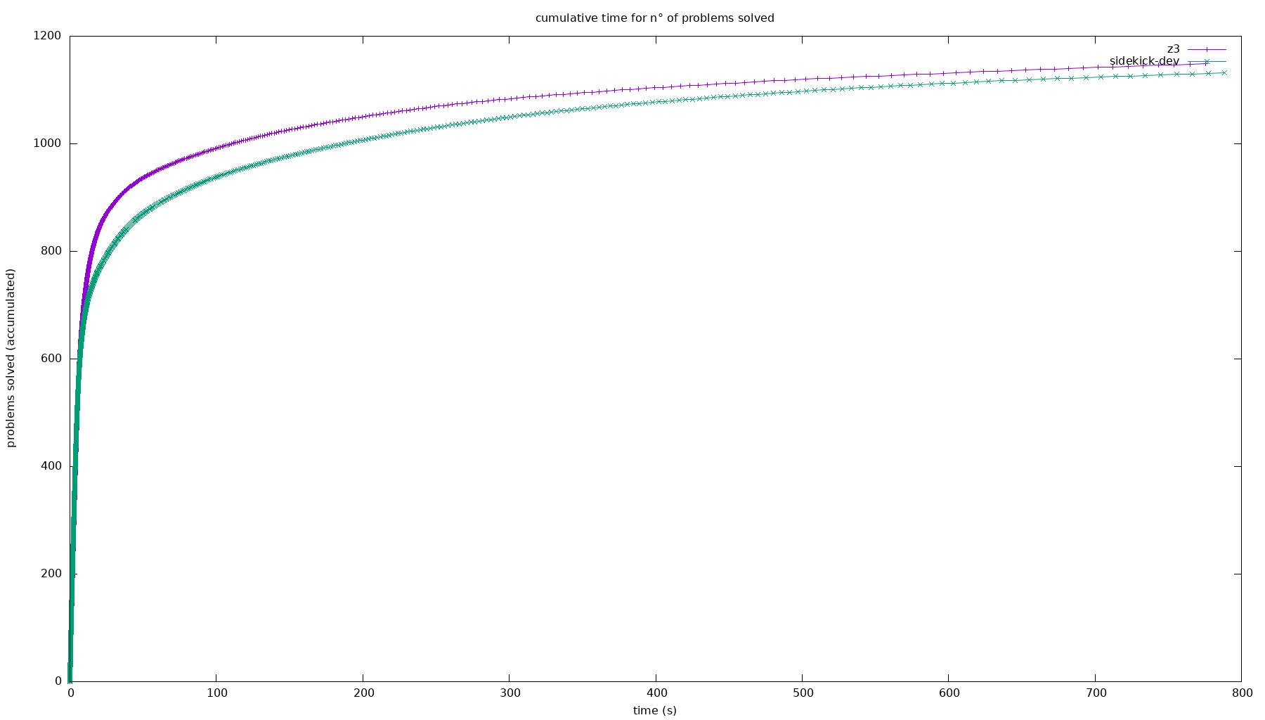
provers
z3
sidekick-dev
sat
701
619
unsat
449
514
sat+unsat
1150
1133
errors
0
valid_proof
0
0
invalid_proof
0
0
unknown
0
41
timeout
memory
0
0
total
1648
1648
total_time
12m55.5s
13m8.6s

summary

download as csv see detailed results
provers
z3
sidekick-dev
improved
0
ok
disappoint
bad
0
valid proof
0
0
invalid proof
0
0
errors
0
total
1648
1648
cactus plot of provers

comparisons

better:
z3
sidekick-dev
z3
×
same: 944
better: 189
worse: 206
sidekick-dev
same: 944
better: 206
worse: 189
×