res-20201114T212513-adc7747e-65b5-4ed6-a437-fcf39eca497d.sqlite

Summary

provers
n_results
2568
bad
3
uuid
adc7747e-65b5-4ed6-a437-fcf39eca497d
dirs
//home/simon/w/sidekick/tests/QF_UFLRA
timestamp
2020/11, Sat the 14, at 21h25:13 GMT
total_wall_time
31m41.7s

stats

provers
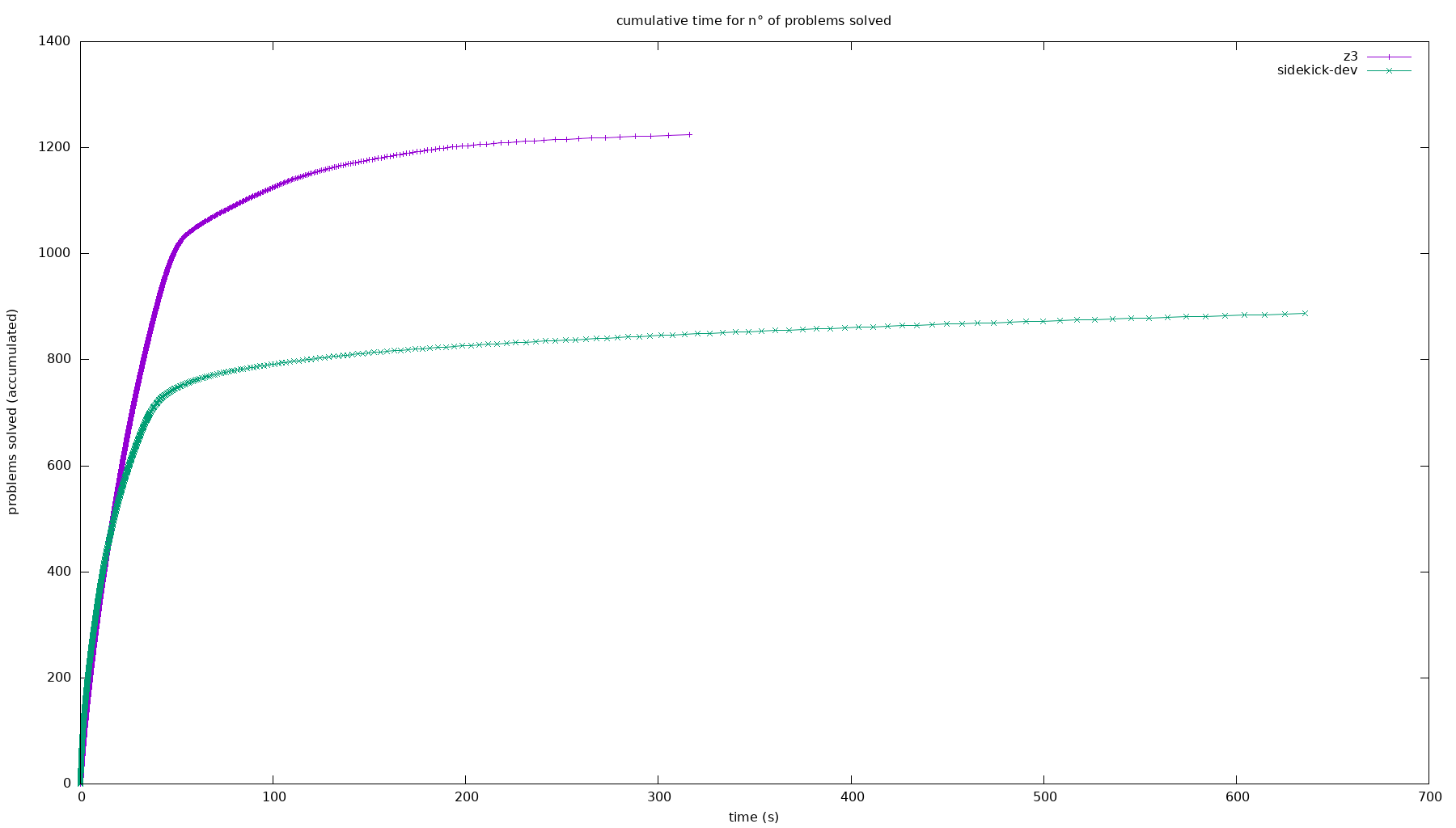
z3
sidekick-dev
sat
717
451
unsat
508
437
sat+unsat
1225
888
errors
0
valid_proof
0
0
invalid_proof
0
0
unknown
0
37
timeout
memory
0
0
total
1284
1284
total_time
5m16.1s
10m35.6s

summary

download as csv see detailed results
provers
z3
sidekick-dev
improved
0
0
ok
disappoint
bad
0
valid proof
0
0
invalid proof
0
0
errors
0
total
1284
1284
cactus plot of provers

comparisons

better:
z3
sidekick-dev
z3
×
same: 882
better: 6
worse: 343
sidekick-dev
same: 882
better: 343
worse: 6
×