res-20210318T163613-5b24677f-ad88-4534-ae83-fbaad8e7df10.sqlite

Summary

provers
n_results
16000
bad
2
uuid
5b24677f-ad88-4534-ae83-fbaad8e7df10
dirs
//home/simon/w/sidekick2/tests/QF_DT/20172804-Barrett/barrett-jsat
timestamp
2021/03, Thu the 18, at 16h36:13 GMT
total_wall_time
2m37.6s

stats

provers
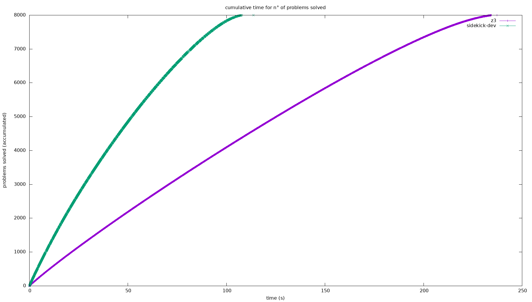
z3
sidekick-dev
sat
3578
3576
unsat
4422
4424
sat+unsat
8000
8000
errors
0
0
valid_proof
0
0
invalid_proof
0
0
unknown
0
0
timeout
0
0
memory
0
0
total
8000
8000
total_time
3m57.2s
1m53.7s

summary

download as csv see detailed results
provers
z3
sidekick-dev
improved
ok
disappoint
0
0
bad
0
valid proof
0
0
invalid proof
0
0
errors
0
0
total
8000
8000
cactus plot of provers

comparisons

better:
z3
sidekick-dev
z3
×
same: 8000
better: 0
worse: 0
sidekick-dev
same: 8000
better: 0
worse: 0
×