res-20210510T155111-0ea12330-248d-427d-9d00-201adad100d3.sqlite

Summary

provers
n_results
3852
uuid
0ea12330-248d-427d-9d00-201adad100d3
dirs
//home/simon/w/sidekick2/tests/QF_UFLRA
timestamp
2021/05, Mon the 10, at 15h51:11 GMT
total_wall_time
34m16.9s

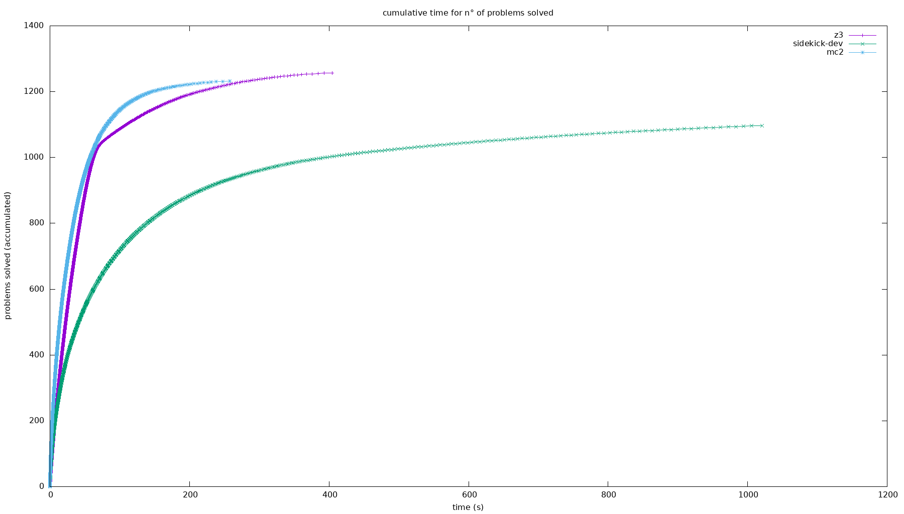
stats

provers
z3
sidekick-dev
mc2
sat
750
605
740
unsat
508
493
493
sat+unsat
1258
1098
1233
errors
0
valid_proof
0
0
0
invalid_proof
0
0
0
unknown
0
30
0
timeout
memory
0
0
0
total
1284
1284
1284
total_time
6m44.3s
17m0.8s
4m17.6s

summary

download as csv see detailed results
provers
z3
sidekick-dev
mc2
improved
0
0
0
ok
disappoint
bad
0
0
0
valid proof
0
0
0
invalid proof
0
0
0
errors
0
total
1284
1284
1284
cactus plot of provers

comparisons

better:
z3
sidekick-dev
mc2
z3
×
same: 1098
better: 0
worse: 160
same: 1232
better: 1
worse: 26
sidekick-dev
same: 1098
better: 160
worse: 0
×
same: 1086
better: 147
worse: 12
mc2
same: 1232
better: 26
worse: 1
same: 1086
better: 12
worse: 147
×