res-20210824T203501-15a10110-5b9c-4900-a891-57dcfaf31a50.sqlite

Summary

provers
n_results
2568
uuid
15a10110-5b9c-4900-a891-57dcfaf31a50
dirs
//home/simon/w/sidekick/tests/QF_UFLRA
timestamp
2021/08, Tue the 24, at 20h35:01 GMT
total_wall_time
42m48.4s

stats

provers
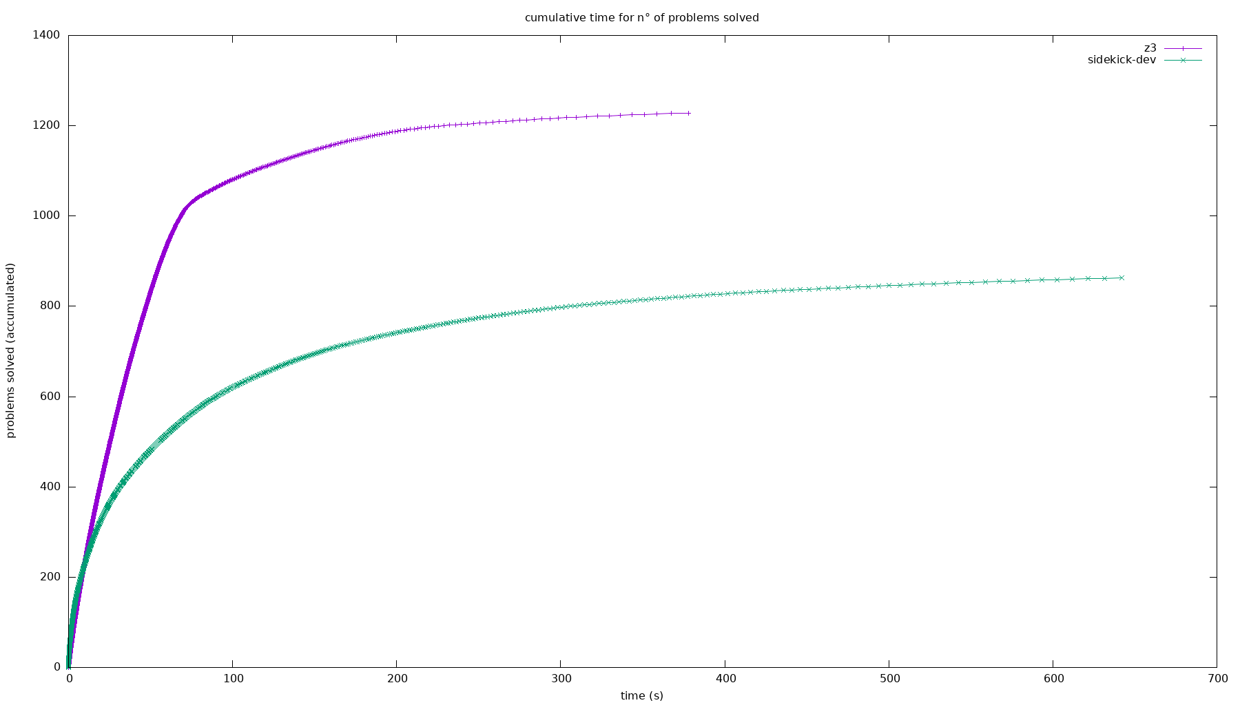
z3
sidekick-dev
sat
733
372
unsat
496
492
sat+unsat
1229
864
errors
0
valid_proof
0
0
invalid_proof
0
0
unknown
0
50
timeout
memory
0
0
total
1284
1284
total_time
6m17.7s
10m42.1s

summary

download as csv see detailed results
provers
z3
sidekick-dev
improved
0
0
ok
disappoint
bad
0
0
valid proof
0
0
invalid proof
0
0
errors
0
total
1284
1284
cactus plot of provers

comparisons

better:
z3
sidekick-dev
z3
×
same: 858
better: 6
worse: 371
sidekick-dev
same: 858
better: 371
worse: 6
×