res-20210901T141531-4deef390-9342-4105-9408-f3bb46bcd07a.sqlite

Summary

provers
n_results
3222
uuid
4deef390-9342-4105-9408-f3bb46bcd07a
dirs
//home/simon/w/sidekick2/tests
timestamp
2021/09, Wed the 01, at 14h15:31 GMT
total_wall_time
13m43.8s

stats

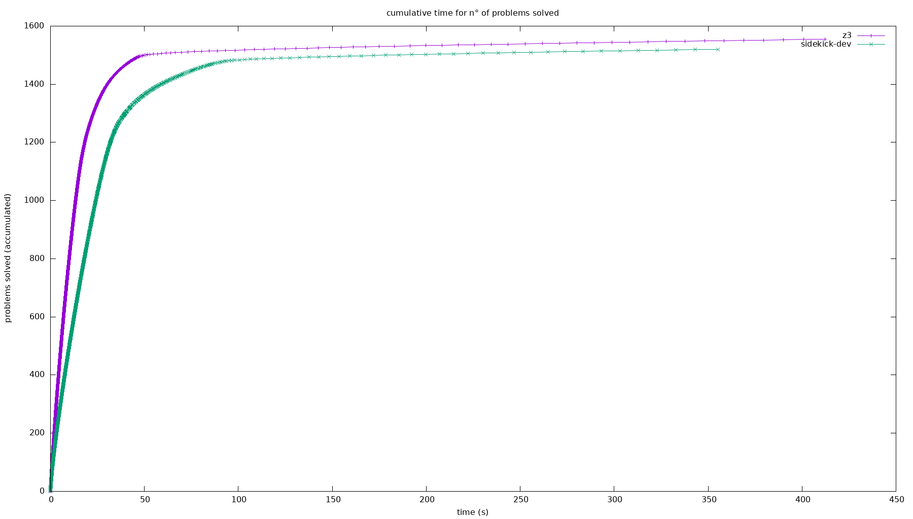
provers
z3
sidekick-dev
sat
52
48
unsat
1504
1473
sat+unsat
1556
1521
errors
valid_proof
0
0
invalid_proof
0
0
unknown
0
75
timeout
memory
0
0
total
1611
1611
total_time
6m52.2s
5m55.1s

summary

download as csv see detailed results
provers
z3
sidekick-dev
improved
ok
disappoint
bad
0
0
valid proof
0
0
invalid proof
0
0
errors
total
1611
1611
cactus plot of provers

comparisons

better:
z3
sidekick-dev
z3
×
same: 1519
better: 2
worse: 37
sidekick-dev
same: 1519
better: 37
worse: 2
×