res-20220105T154758-97577498-a891-4b65-aebd-607169ff2ba4.sqlite

Summary

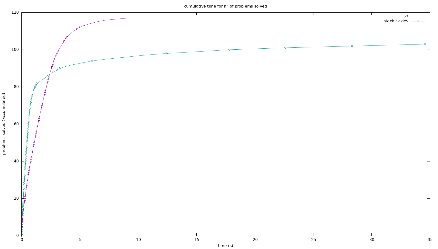
provers
n_results
242
uuid
97577498-a891-4b65-aebd-607169ff2ba4
dirs
//home/simon/w/sidekick2/tests
timestamp
2022/01, Wed the 05, at 15h47:58 GMT
total_wall_time
1m40s

User Metadata

Loading...

stats

provers
z3
sidekick-dev
sat
30
27
unsat
88
77
sat+unsat
118
104
errors
0
valid_proof
0
0
invalid_proof
0
0
unknown
0
3
timeout
memory
0
0
total
121
121
total_time
47.4s
3m59.4s
total_time_solved
9s
34.6s

summary

download as csv see detailed results
provers
z3
sidekick-dev
improved
0
0
ok
disappoint
bad
0
0
valid proof
0
0
invalid proof
0
0
errors
0
total
121
121

comparisons

better:
z3
sidekick-dev
z3
×
same: 104
better: 0
worse: 14
sidekick-dev
same: 104
better: 14
worse: 0
×